Qué es el Oscilador Estocástico y cómo utilizarlo en trading
¿Qué es el Oscilador Estocástico?
El Oscilador Estocástico es una herramienta de análisis técnico muy popular, disponible en casi todas las plataformas de trading y utilizada por muchos traders de todo el mundo.
Fue desarrollado por George Lane, un famoso analista técnico, basado en la premisa de que los precios tienden a cerrar cerca del máximo de la vela durante los movimientos alcistas, y cerca del extremo inferior de la vela durante los movimientos bajistas. Del mismo modo, el estocástico determina dónde cerró el precio en relación con un rango de precios específico durante un período de tiempo elegido. Durante una tendencia alcista, los precios tienden a cerrar cerca de la parte superior de un rango específico, mientras que durante una tendencia bajista se agrupan cerca de la parte inferior.
El Oscilador Escolástico consta de dos líneas; %K y %D. Las señales principales se generan usando %D.

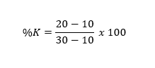
Fórmula estocástica rápida

Los períodos más populares para los estocásticos son 5 y 14. Durante la volatilidad se utiliza el período de 5 o 9, mientras que el período de 14 se usa ampliamente para el resto de los mercados.

Suponiendo un período de 5, un máximo máximo de 30, un mínimo mínimo de 10 y un cierre actual de 20, se puede usar la fórmula anterior para calcular la línea %K:


El %K determina dónde cerró el precio en relación con un rango (es decir, un período) de velas. Por ejemplo, una lectura por encima de 80 implica que el precio de cierre actual está cerca del máximo más alto del rango, que es de hecho el precio más alto de las últimas 5 velas. Por otro lado, una lectura por debajo de 20 coloca el precio de cierre cerca del mínimo más bajo del rango, que es de hecho el precio más bajo de las últimas 5 velas.

La segunda línea, %D, se estima suavizando %K. En pocas palabras, es la media móvil simple de 3 períodos de %K:
%D = SMA (%K,3)
Esto se conoce como estocástico rápido.
Estocásticos lentos
Los estocásticos rápidos producen señales tempranas, lo que significa que muchos traders prefieren un mayor suavizado de las líneas %K y %D.
Al tomar una media móvil simple adicional de 3 períodos de %D y %K, los estocásticos lentos correspondientes se calculan de la siguiente manera:
%K = SMA(%K,3)
%D = SMA(%D, 3)
El oscilador estocástico oscila entre 0 y 100. Una lectura de 0 significa que el último precio de cierre es igual al precio más bajo del rango de precios durante el período de tiempo elegido.

Una lectura de 100 significa que el último precio de cierre es igual al precio más alto registrado para el Rango de precios durante el período de tiempo elegido.

Una lectura por encima de 80 se considera una indicación de que el mercado ha alcanzado niveles extremos de sobrecompra, mientras que una lectura por debajo de 20 indica que el mercado ha caído a niveles extremos de sobreventa.
Señales de compra y venta
Una señal de compra se genera cuando las líneas %K y %D caen y cruzan por debajo del nivel de sobreventa de 20. Para obtener más señales afirmativas, los traders también pueden esperar a que la línea %D suba por encima de 20.

Por el contrario, se genera una señal de venta cuando las líneas %K y %D suben y cruzan por encima del nivel de sobrecompra de 80. Una vez más, si se requiere una confirmación adicional, los traders esperan a que el %D caiga por debajo de 80. Vale la pena señalar que algunos traders esperan a que %K en lugar de %D caiga por debajo del nivel de sobrecompra o suba por encima del nivel de sobreventa para iniciar una entrada en el mercado. Del mismo modo, para señales más rápidas, los traders observan la línea %K en lugar de la línea %D.

Además de los niveles extremos 20 y 80, los traders también pueden usar los niveles 30 y 70 a veces. Cuando los indicadores de seguimiento de tendencias fallan durante los mercados laterales, el Oscilador Estocástico puede producir señales oportunas.
Estocásticos y Divergencia
Aparte de la oscilación de los estocásticos entre 0 y 100 y el cruce de la línea rápida, %K, y la línea lenta, %D, la divergencia también puede incorporarse para las señales.
Una divergencia bajista se produce cuando la línea lenta (%D) se eleva por encima de 80 y forma dos máximos sucesivamente más bajos mientras el precio sube. Del mismo modo, se produce una divergencia alcista cuando tanto %K como %D caen por debajo del nivel de sobreventa de 20, y %D forma dos mínimos sucesivamente más altos mientras el precio continúa bajando.

La combinación de estocásticos con RSI
estocásticos puede también se puede combinar con el popular Índice de Fuerza Relativa (RSI) para obtener señales y alertas potencialmente más precisas.
Por ejemplo, si el RSI está en el área de sobrecompra por encima de 70, y %K y %D cruzan por encima de 80, entonces esto podría producir una alerta de un punto de inflexión inminente en el gráfico de precios.

Por otro lado, si el estocástico cruza por debajo del nivel de sobreventa de 20 y el RSI también está por debajo de 30, esto podría producir una alerta alcista.
Conclusión
El oscilador estocástico es utilizado tanto por principiantes como por traders avanzados. Es útil tanto en los mercados de tendencia como en los de rango, ya que produce una gama variada de señales. Un cruce de los estocásticos por encima del nivel de sobrecompra o por debajo del nivel de sobreventa puede ser más común en un mercado lateral. Por otro lado, una divergencia (positiva o negativa) entre el oscilador y el precio puede ser más común durante los mercados de tendencia. Es aconsejable tener en cuenta que los indicadores y osciladores son mejores herramientas cuando se combinan con otros, incluido, y especialmente, el precio en sí.
Aprenda a operar con FXTM
Descubra cómo tomar las decisiones de trading correctas para su estilo y objetivos con nuestra amplia gama de recursos educativos. Aprenda desde casa cuándo y cómo más le convenga con nuestro videos educativos o regístrese para un < remoto a href="/education/webinars">webinar. También organizamos seminarios y talleres interactivos Forex en todo el mundo, ¡es posible que pronto haya uno en su área!
Descargo de responsabilidad: Este material escrito/visual se compone de opiniones e ideas personales. El contenido no debe interpretarse como que contiene ningún tipo de asesoramiento de inversión y/o una solicitud de transacciones. No implica una obligación de adquirir servicios de inversión, ni garantiza ni predice el rendimiento futuro. FXTM, sus filiales, agentes, directores, directivos o empleados no garantizan la exactitud, validez, puntualidad o integridad de la información o los datos puestos a disposición y no asumen ninguna responsabilidad por las pérdidas que surjan de cualquier inversión basada en la misma.
Advertencia de riesgo: Existe un alto nivel de riesgo relacionado con el trading de productos apalancados como Forex y CFDs. No debe arriesgar más de lo que puede permitirse perder, es posible que pierda más de su inversión inicial. No debe operar a menos que comprenda completamente el verdadero alcance de su exposición al riesgo de pérdida. A la hora de operar, siempre hay que tener en cuenta su nivel de experiencia. Si los riesgos involucrados no le parecen claros, busque asesoramiento financiero independiente.
Siguientes artículos
¿Está listo para operar con dinero real?
Abra una cuentaElija su cuenta
Comience a operar con un bróker líder que le ofrece más.
